Regla de los eventos mutuamente excluyentes, no excluyentes e independientes
Para iniciar, recurriremos a la siguiente actividad, ahí se deben ubicar dos eventos A (cae águila) y B (cae sol).

Todo esto parece confirmar que la probabilidad de que caiga águila o sol (evento A o B) al lanzar una moneda es igual al 50% siempre y cuando se cumpla la condición de que sea al azar.
Dicho todo esto, es momento de abordar qué sucede cuando dos eventos ocurren al mismo tiempo. La pregunta obligada es ¿cuál es la probabilidad de que ocurran los dos eventos al mismo tiempo?, es decir, P (A y B).
Lo que acabamos de hacer es identificar si un evento es mutuamente excluyente.

¿Qué implicaciones tiene esto?
Si se lanza una sola moneda a la vez, únicamente obtendremos un resultado, es decir, o sale águila o sol. Por lo anterior, si tenemos dos o más eventos que pertenecen a un universo (S), al realizar el experimento solo puede ocurrir uno u otro resultado, pero no ambos al mismo tiempo.
A su vez se llaman eventos no excluyentes o conjuntos, cuando dentro del universo es posible que ocurran dos o más eventos conjuntamente al mismo tiempo ¿Notas la diferencia? A detalle, tendremos lo siguiente:

En el Telebachillerato comunitario “El platanar” se hace un estudio sobre la aprobación de dos asignaturas: Ecología del Medio Ambiente (E) y Filosofía (F), las cuales pertenecen a 6° semestre. Los resultados demuestran que la probabilidad de que un estudiante apruebe Ecología del Medio Ambiente 0.6. La probabilidad de aprobar filosofía es de 0.54. Y la de aprobar ambas es de 0.36. La pregunta de eventos no excluyentes corresponde a: ¿cuál es la probabilidad de que un o una estudiante
apruebe Ecología del Medio Ambiente o Filosofía?
¡Nota importante! Resulta relevante subrayar que los eventos no necesariamente deben nombrarse con las letras A y B, sino que en algunos casos se les designa con la inicial del suceso en cuestión, como en el siguiente caso:
- Evento (E) = aprobar ecología y medio ambiente
- Evento (F) = aprobar filosofía
Otra forma de presentar el problema puede ser de la siguiente forma:
- P (E) = 0.6
- P (F) = 0.54
- P (E ∩ F) = 0.36
Al utilizar la fórmula del recuadro anterior, obtenemos lo siguiente:
P (E U F) = P (E) + P (F) – P (E ∩ F) = 0.6+0.54-0.36 = 0.78
A partir de los resultados anteriores, es posible definir que la probabilidad de que un estudiante de 6° semestre del Telebachillerato “El Platanar” apruebe Ecología y Medio ambiente o Filosofía es de 0.78.
Ahora veamos los eventos independientes. En lenguaje probabilístico esta independencia ocurre cuando A y B son dos eventos con probabilidades positivas. Cuando se tiene la igualdad: P(B/A) = P(B) quiere decir que el evento B no depende de A, o que es independiente del evento A; no importa si ocurrió o no el evento A, puesto que la ocurrencia o no de A no afecta la ocurrencia del evento B.

Armando entrevistó a 150 personas (60 mujeres y 90 hombres) sobre el calzado que utilizan. De los resultados que obtuvo que 90 personas usan zapatos tenis, mientras que 60 no usa zapatos tenis. De este levantamiento, supongamos que el evento A es ser mujer, y que el evento B es usar zapatos tenis. La información completa del levantamiento se puede presentar de la siguiente forma:
- 90 mujeres
- 60 hombres
- 54 mujeres usan zapatos tenis
- 36 hombres usan zapatos tenis.
- 90 personas en total usan zapatos tenis.
Al organizar en una tabla de contingencia, la información se puede presentar de la siguiente manera:
| Tipo de calzado | Hombre | Mujer | Total |
| Usa zapatos tenis | 36 | 54 | 90 |
| No usa zapatos tenis | 24 | 36 | 60 |
| Total | 60 | 90 | 150 |
De la cual se pueden derivar los siguientes cálculos:
La probabilidad de que una persona (sin distinción de sexo) use zapatos tenis es de 90/150= 0.60
En este caso P (B)=90/150=0.6
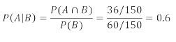
La probabilidad de que una persona use zapatos tenis dado que es mujer es: 54/90=0.6
Esto es:

De manera similar, la probabilidad de que una persona sea use zapatos tenis dado que es hombre es: 36/60=0.60
Esto es:

Como se puede observar, el hecho de ser hombre o mujer no afecta la probabilidad de usar zapatos tenis. Otra forma de abordar el tema de eventos independientes es a partir del siguiente ejemplo:
En un salón de clase, los estudiantes con los 5 mejores promedios podrán participar en una rifa de dos kits de útiles escolares.
Los seleccionados serán los alumnos que saquen fichas rojas de una caja, la cual contiene 2 fichas rojas, 2 fichas, y 1 verde. Al sacar una ficha roja en el primer intento, observas el color y la pones de nuevo
en la bolsa.
En un segundo intentas sacar una ficha roja. ¿Cuál es la probabilidad de sacar una canica roja ambas veces?
En el cálculo de probabilidades, hay que considerar que los eventos son independientes porque se regresa la primera ficha a la caja y en el segundo intento, las probabilidades de que salga una ficha roja ocurren en condiciones en que la caja contiene el mismo número y tipo de fichas que en su estado original.
Analizando con cálculo de probabilidades, sabemos que en el primer intento, la probabilidad de sacar una ficha roja es 2/5 porque hay 5 fichas y 2 de ellas son rojas.
Si volvemos a poner la ficha roja dentro de la caja, la probabilidad de sacar una ficha roja en un segundo intento sigue siendo 2/5 eso se liga a que los dos eventos son independientes.
El resultado de un experimento no afecta el resultado del otro. Al proyectar ¿qué hubiera pasado si no pones la primera ficha de nuevo en la caja? La probabilidad de sacar una ficha roja será diferente para el segundo intento. Si una ficha roja es eliminada, en el segundo intento la probabilidad será ahora de 1/4 porque sólo quedan 4 canicas y una es roja.

Reglas de probabilidad
En el ámbito de la probabilidad existen variadas reglas que responden a diversos cuestionamientos. Entre dichas reglas se encuentran la probabilidad de la unión; del complemento; de la diferencia; conjunta, condicional y Teorema de Bayes, por mencionar algunos. Es importante recalcar que en lo que respecta a este curso, nos centraremos en las dos últimas de las cuales ubicarás sus principales características e identificarás los elementos de un conjunto a partir de los tipos de eventos que ahí encuentres.
Probabilidad condicional
Un concepto muy importante en la teoría de probabilidad es el de Probabilidad Condicional ya que, algunos eventos pueden estar condicionados a otros sucesos, pues existen situaciones en la realidad donde se pueden realizar los siguientes cuestionamientos: ¿Cuál es la probabilidad de que llueva si está nublado? ¿Cuál es la probabilidad de que el foco dure más de 100 horas dado que ha funcionado 24 horas? Si se conoce que es una mujer la que ganó el premio mayor de la lotería ¿Cuál es la probabilidad de que sea soltera?

Lo anterior motiva a dar el concepto de Probabilidad Condicional el cual surge cuando se quiere obtener la probabilidad de un evento A, y se tiene conocimiento que ya ocurrió algún evento B relacionado al primero y se denota con el símbolo el cual se lee como “la probabilidad de que ocurra A dado que ya ocurrió B” o simplemente, “la probabilidad de A dado B”.
En ocasiones sucede que un evento influye en que otro se pueda presentar. ¿Recuerdas si has estado en una situación con esas características? En estadística se podría hacer referencia a la probabilidad condicional. De manera formal, la probabilidad condicional se interpreta de la siguiente manera:
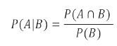
- Si se sabe que ya ocurrió el evento B, la probabilidad de que también haya ocurrido A se escribe: P (A|B) y se lee “la probabilidad de A dado B”.
- P (A|B) equivale a calcular la probabilidad de A cuando el espacio muestral se reduce a B.
Y la fórmula para calcularla es la siguiente:

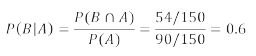
Aplicando este concepto a los datos que obtuvo Armando y retomando que como su nombre lo indica, esta regla de probabilidad parte de una condición que puede ser: “seleccionar al azar a una mujer que usa zapatos tenis”, la finalidad de esta condición puede ser de que Armando entreviste a la mujer para conocer su opinión sobre otros gustos en el ámbito del consumo.
| Tipo de calzado | Hombre | Mujer | Total |
| Usa zapatos tenis | 36 | 54 | 90 |
| No usa zapatos tenis | 24 | 36 | 60 |
| Total | 60 | 90 | 150 |
Haremos uso del árbol de probabilidad, el cual tuviste oportunidad de estudiar en el bloque anterior. Es importante destacar que se realiza a partir de la tabla de contingencia previa:

Como habrás podido observar, hay dos maneras para identificar la probabilidad condicional, una con la construcción del árbol de probabilidad, y la segunda a partir de la fórmula del recuadro. Para desarrollar ésta última, tomaremos como condición la probabilidad de elegir a una mujer al azar dado que usa tenis (condición 1). Y tenemos lo siguiente:

Al comparar el resultado anterior con la primera condición resultante del árbol de probabilidad de arriba, podemos concluir que coinciden. Por tanto, la interpretación es que la probabilidad de que una mujer elegida al azar use tenis es de 40%.
Teorema de Bayes
El teorema de Bayes es una forma especial de conteo. Es un tema que se desarrolla cuando es difícil obtener de forma completa los puntos muestrales de un espacio, ya que no es posible realizar la numeración directa para obtener las probabilidades.
En estos casos se emplea el análisis combinatorio. Esta posibilidad simplifica el cálculo de las probabilidades con condicionales. Permite calcular la probabilidad de que ocurra un evento B si se sabe que ya ha ocurrido un evento A.
Se puede formalizar de la siguiente manera: P (B/A) Y para calcularla es importante que sigas 3 pasos fundamentales:
- Conocer la probabilidad como frecuencia relativa de que ocurra el suceso A, o sea P(A).
- La probabilidad de que ocurra el suceso B es P (B).
- La probabilidad de que ocurra el suceso A, si sabemos que ya ocurrió el suceso B, es P(A/B).
Fuentes: Secretaría de Educación Pública. (2015). Probabilidad y estadística I. Ciudad de México. / Colegio de Bachilleres del Estado de Sonora. (2016). Probabilidad y Estadística II. Sonora, México.
